服务热线
0512-65988109
首页
关于我们
产品展示
CMJS9-1型
CMJS18-2型
CMJS24-3型
CMZJ9-1-SK型
CMZJ18-2-SK型
动火离人
配件
产品优势
荣誉资质
案例展示
新闻中心
联系我们
主菜单
首页
关于我们
产品展示
荣誉资质
案例展示
新闻中心
联系我们
位置:
首页
>
行业新闻
行业新闻
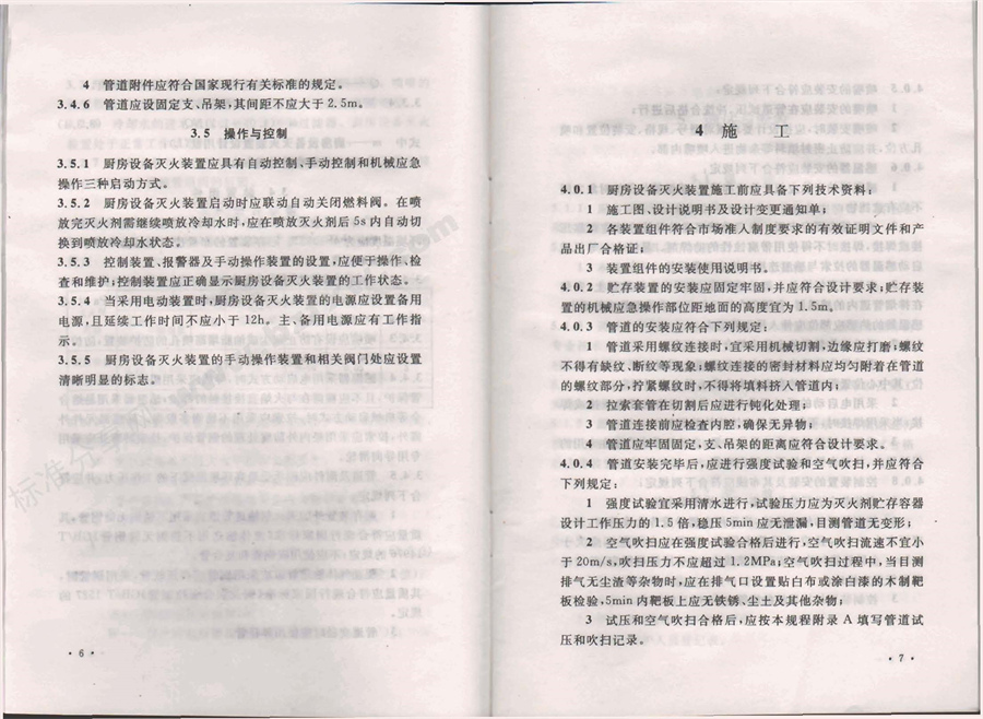
CECS 233-2007 厨房设备灭火装置技术规程
作者: 来源: 日期:2026/4/22 10:18:49 人气:48
关于厨房灭火装置多长时间进行维护保养?厨房设备灭火装置技术规程中规定,每半年对装置进行一次全面检查(详情请见规程中第11页6.2.2条),每3年应更换灭火剂(详情请见规程中第12页6.2.4条)
CECS 233-2007 厨房设备灭火装置技术规程
上一个:
2GB 50016-2014《建筑设计防火规范(2018年版)》
下一个:
厨房自动灭火装置《守护商用厨房安全的智能卫士》众多品牌中,品质与售后服务选择很重要